Discussion
Loading...

#Tag

Log in
  • About
  • Code of conduct
  • Privacy
  • About Bonfire
ƧƿѦςɛ♏ѦਹѤʞ boosted
Patrick Honner
Patrick Honner
@phonner@mathstodon.xyz  ·  activity timestamp 2 days ago

I taught Integration by Parts earlier than normal this year in #Calculus and one consequence was that a bunch of students used it to integrate
\[ \int \sin^3x \space \cos^2x \space dx \]
which was very surprising, but also very cool!

#Math #MathEd #Mathematics

  • Copy link
  • Flag this post
  • Block
Patrick Honner
Patrick Honner
@phonner@mathstodon.xyz  ·  activity timestamp 2 days ago

I taught Integration by Parts earlier than normal this year in #Calculus and one consequence was that a bunch of students used it to integrate
\[ \int \sin^3x \space \cos^2x \space dx \]
which was very surprising, but also very cool!

#Math #MathEd #Mathematics

  • Copy link
  • Flag this post
  • Block
ƧƿѦςɛ♏ѦਹѤʞ boosted
Your Autistic Life FR/EN/ES
Your Autistic Life FR/EN/ES
@yourautisticlife@mast.yourautisticlife.com  ·  activity timestamp 3 days ago

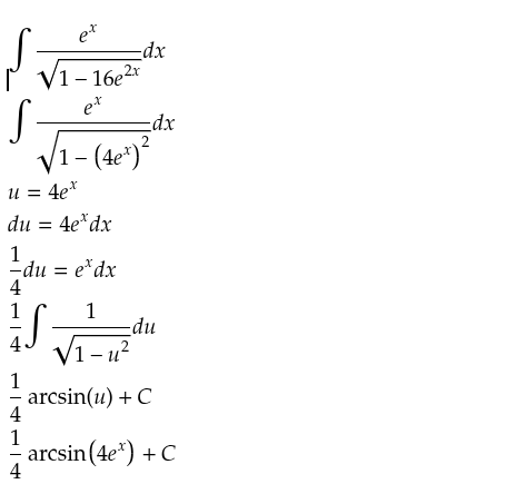
Here's a little math problem that breaks at least one problem solver and one LLM. It breaks them in the sense that they don't know how to solve it, which is marginally better than spewing out authoritative-looking nonsense.

\int \frac{e^{x}}{\sqrt{1-16e^{2x}}} dx

See the image for my solution.

#math #calculus #integrals #LLMs #AI #ProblemSolver

There is a solution: \frac{1}{4}\arcsin\left( 4e^{x}\right) +C
There is a solution: \frac{1}{4}\arcsin\left( 4e^{x}\right) +C
There is a solution: \frac{1}{4}\arcsin\left( 4e^{x}\right) +C
  • Copy link
  • Flag this post
  • Block
Your Autistic Life FR/EN/ES
Your Autistic Life FR/EN/ES
@yourautisticlife@mast.yourautisticlife.com  ·  activity timestamp 3 days ago

Here's a little math problem that breaks at least one problem solver and one LLM. It breaks them in the sense that they don't know how to solve it, which is marginally better than spewing out authoritative-looking nonsense.

\int \frac{e^{x}}{\sqrt{1-16e^{2x}}} dx

See the image for my solution.

#math #calculus #integrals #LLMs #AI #ProblemSolver

There is a solution: \frac{1}{4}\arcsin\left( 4e^{x}\right) +C
There is a solution: \frac{1}{4}\arcsin\left( 4e^{x}\right) +C
There is a solution: \frac{1}{4}\arcsin\left( 4e^{x}\right) +C
  • Copy link
  • Flag this post
  • Block

BT Free Social

BT Free is a non-profit organization founded by @ozoned@btfree.social . It's goal is for digital privacy rights, advocacy and consulting. This goal will be attained by hosting open platforms to allow others to seamlessly join the Fediverse on moderated instances or by helping others join the Fediverse.

BT Free Social: About · Code of conduct · Privacy ·
Bonfire social · 1.0.1-beta.22 no JS en
Automatic federation enabled
Log in
  • Explore
  • About
  • Code of Conduct